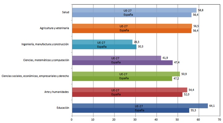
Porcentaje de mujeres con tesis leídas por rama de conocimiento. Datos de 2012 para España y la UE-27. Fuente: Científicas en cifras 2013.
Porcentaje de mujeres con tesis leídas por rama de conocimiento. Datos de 2012 para España y la UE-27. Fuente: Científicas en cifras 2013.